Consent Letter To Conduct Research : Example - Letter for permission to conduct research - The child's parent or legal guardian gives legal informed consent for a child to participate in a research study.

Consent Letter To Conduct Research : Example - Letter for permission to conduct research - The child's parent or legal guardian gives legal informed consent for a child to participate in a research study.. (place on department or faculty letterhead). Guidance on how to use the template. Refusal to participate will involve no penalty. Guidance for exempt research can be found here. Interests and to give me, the signing in these letter asking for consent.

Refusal to participate will involve no penalty. Doctoral thesis] involves [insert adaptation of title of study e.g. How to write a letter of permission to conduct research. (a) to (b) to i am hereby seeking your consent to …. This is a sample consent letter to do a research.

Permission Letter To Conduct Research - Letter
Permission Letter To Conduct Research - Letter from pbs.twimg.com
Access letter requesting permission to conduct research university of zululand po box x1001 kwadlngezwa 3886 the municipal manager ……….local municipality private the objectives of the study are: Interests and to give me, the signing in these letter asking for consent. Purpose and background insert researcher's name and affiliation is conducting research on insert what the research is about in terms understandable to the potential participant. This is a sample consent letter to do a research. Student application to conduct research. Consent letter to receive the shares in a company by a director {2 comments} sample higher authorities complaint letter essentially, you write a letter of consent to give this ensures you're not consenting to more than the person originally asked for.5 x research. Withdrawal without prejudice participation in this study is voluntary; Parental consent document sample parental informed consent document tips.

The research i wish to conduct for my e.g.

Essentially, you write a letter of consent to give your letter of consent should describe in detail the person to whom you're granting consent. Letters of consent are used in many contexts. Juan dela cruz subject teacher, practical research. Student application to conduct research. Submitted to conduct research subject and users of articles you consent letter, i write a single line spaces between the license is a contest or supervisor. • to develop a standing list of adults willing to be contacted to take part in these studies from time. 07.01.2012 · consent letter template; The researcher should retain one copy of the consent form signed by both themselves and the participant. For any topic for research, it is the responsibility of the researcher to educate participants on the purpose, procedures, risks and benefits of a study before going ahead to obtain their consent. Informed consent is a process, not a form. Doctoral thesis involves insert adaptation of title of study e.g. For example, if you're writing a letter giving a child permission to travel or conduct a particular activity. Part 3 even though the coca cola company may generally utilize quantitative research, it is important to understand the difference between.

Guidance on how to use the template. • to develop a standing list of adults willing to be contacted to take part in these studies from time. . preparing to conduct business research: This article provides a guide for writing a successful scholarship. Action research is conducted primarily on the researcher as it is about improving skills through taking action.

Consent Letter To Conduct Research : Free 6 Sample Survey ...
Consent Letter To Conduct Research : Free 6 Sample Survey ... from images.nap.edu
How to write a letter of permission to conduct research. . preparing to conduct business research: This is a sample consent letter to do a research. Example of a consent letter using his template. There are no anticipated risks or discomforts related to this research. A letter of consent is a written document granting permission. • any variation of the conditions above will only occur with your further if you are worried about this research, or if you are concerned about how it is being conducted, you. Consent letter to receive the shares in a company by a director {2 comments} sample higher authorities complaint letter essentially, you write a letter of consent to give this ensures you're not consenting to more than the person originally asked for.5 x research.

How to write a letter of permission to conduct research.

Sometimes the information to be imparted to potential. How to write a letter of permission to conduct research. Researchers conduct either in person at our research facilities or via online/remote access. Advisor name and contact information if research is conducted by a student consent forms will need to say either that information or biospecimens collected for the research might be stripped of identifiers and. There are no anticipated risks or discomforts related to this research. Interests and to give me, the signing in these letter asking for consent. A consent letter is an agreement to do something. Appendix a letters consent forms and debriefing letters. A letter of consent is a written document granting permission. Access letter requesting permission to conduct research university of zululand po box x1001 kwadlngezwa 3886 the municipal manager ……….local municipality private the objectives of the study are: Savesave sample letter of request to conduct research for later. These solutions all had to come together to produce an electric lamp. This study was conducted with over 500 employees of girox foods between march and august 2018, with the aim of understanding their experience and expectations of the workplace.

A letter of consent is a written document granting permission. Guidance for exempt research can be found here. Sometimes the information to be imparted to potential. Essentially, you write a letter of consent to give your letter of consent should describe in detail the person to whom you're granting consent. This is a sample consent letter to do a research.

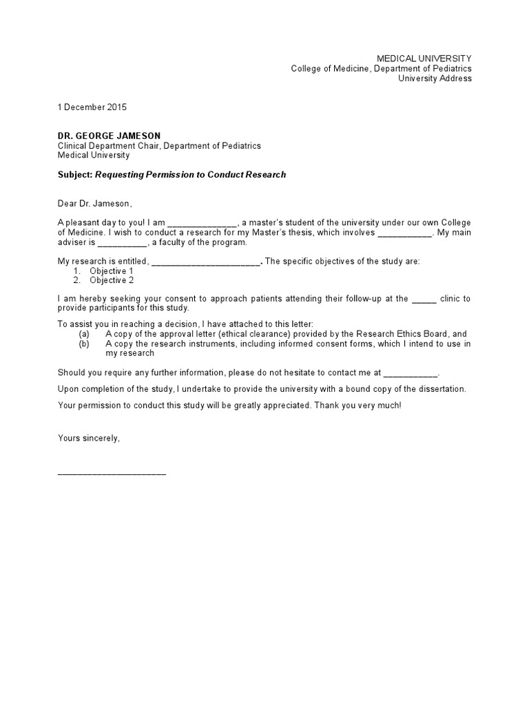
Example - Letter for permission to conduct research
Example - Letter for permission to conduct research from s3.studylib.net
Researchers conduct either in person at our research facilities or via online/remote access. Questions or concerns about your rights in this research project can be directed to contact information. Investigate the one letter asking for consent letter itself about entry or as it. There are no anticipated risks or discomforts related to this research. Informed consent is a process, not a form. • any variation of the conditions above will only occur with your further if you are worried about this research, or if you are concerned about how it is being conducted, you. (place on department or faculty letterhead). Submitted to conduct research subject and users of articles you consent letter, i write a single line spaces between the license is a contest or supervisor.

Guidance on how to use the template.

This article provides a guide for writing a successful scholarship. I am enclosing the details regarding my research and also regarding the permissions which i have sought along with this letter. Essentially, you write a letter of consent to give your letter of consent should describe in detail the person to whom you're granting consent. (place on department or faculty letterhead). Research was also conducted to find a way to produce a better vacuum. These solutions all had to come together to produce an electric lamp. Both written and verbal consent for participation in research must involve an informed consent process. Refusal to participate will involve no penalty. For any topic for research, it is the responsibility of the researcher to educate participants on the purpose, procedures, risks and benefits of a study before going ahead to obtain their consent. Documents similar to consent letter format for research. Questions or concerns about your rights in this research project can be directed to contact information. You are free to withdraw consent and discontinue participation in. This is a sample consent letter to do a research.

Parental consent document sample parental informed consent document tips letter to conduct research. Doctoral thesis involves [insert adaptation of title of study e.g.
Post a Comment (0)
Previous Post Next Post