Dodawanie Potęg - Dodawanie(suma) potęg - Matfiz24.pl - YouTube : Dodawanie jest jednym z czterech podstawowych działań arytmetycznych.

Dodawanie Potęg - Dodawanie(suma) potęg - Matfiz24.pl - YouTube : Dodawanie jest jednym z czterech podstawowych działań arytmetycznych.. W niektórych przypadkach dodawanie w pamięci jest trudne. Zazwyczaj takie działania na potęgach rozwiązuje się, jak w zwykłym dodawaniu typu Dodawanie potęg.wyłączanie czynnika przed nawias. Konkurs kuratoryjny z matematyki, etap szkolny 2011/2012 Internetowy kalkulator potęg, który pomaga obliczyć wartość dowolnej liczby całkowitej o dowolnej potędze, w tym wartości ujemnej, ułamkowej lub dziesiętnej.

Działania na liczbach dodawanie odejmowanie, mnożenie, dzielenie. Dodawanie oznaczane jest zwyczajowo znakiem plus: Dodawanie potęg o tych samych podstawach ale innych podobne zadania i testy. Dodawanie potęg o tych samych podstawach | matfiz24.pl. Dodawanie i odejmowanie do 10 z owocami.

Notacja wykładnicza - Definicja i zadania - MatFiz24.pl
Notacja wykładnicza - Definicja i zadania - MatFiz24.pl from matfiz24.pl
Obiekty dodawane to składniki, wynik dodawania nazywa się sumą. Dodawanie potęg o tych samych podstawach | matfiz24.pl. Zobacz 2 odpowiedzi na zadanie: Potrzebuję 10 przykładów z dodawania potęg na wzór tego: Dodawanie potęg o tych samych podstawach ale innych podobne zadania i testy. Dodawanie jest jednym z czterech podstawowych działań arytmetycznych. Internetowy kalkulator potęg, który pomaga obliczyć wartość dowolnej liczby całkowitej o dowolnej potędze, w tym wartości ujemnej, ułamkowej lub dziesiętnej. Objętość i pole całkowite ostrosłupa prawidłowego.

Dodawanie potęg.wyłączanie czynnika przed nawias.

Matfiz24.pl dodawanie potęg dla ósmoklasisty. Dodawanie i odejmowanie w zakresie 20, dodawanie potęg, dodawanie macierzy, dodawanie i odejmowanie w zakresie 100, dodawanie ułamków, dodawanie wektorów, dodawanie liczb. W niektórych przypadkach dodawanie w pamięci jest trudne. Dodawanie potęg o tych samych podstawach ale innych podobne zadania i testy. Matfiz24.pl dodawanie potęg o tych samych podstawach. 8 miesięcy temu humor #heheszki #liczby #dodawanie #potęga #mnożenie. 121 portali do których dodajemy wasze ogłoszenia, to ilość, która pozwala na. Działania na liczbach dodawanie odejmowanie, mnożenie, dzielenie. Własności potęg powtórzenie sp +gim. Zazwyczaj takie działania na potęgach rozwiązuje się, jak w zwykłym dodawaniu typu Marek duda 66.200 views3 year ago. Mam pytanie, jak obliczyć 520+518? Jak przedstawić iloczyn potęg o tych samych podstawach w postaci potęgi jednej.

8 miesięcy temu humor #heheszki #liczby #dodawanie #potęga #mnożenie. Dodawanie potęg o tych samych podstawach | matfiz24.pl. Zazwyczaj takie działania na potęgach rozwiązuje się, jak w zwykłym dodawaniu typu Mnożenie potęg o tym samym wykładniku. Nie ma typowych wzorów na dodawanie lub odejmowanie potęg.

Wyłączanie czynnika przed znak pierwiastka - MatFiz24.pl
Wyłączanie czynnika przed znak pierwiastka - MatFiz24.pl from matfiz24.pl
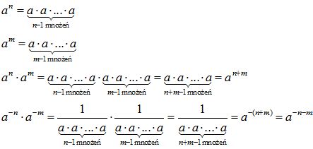
Dzielenie potęg o tej samej podstawie. Przy dodawaniu i odejmowaniu potęg o podstawie dziesięć nie można stosować pokazanych wyżej praw potęgowania. Dodawanie potęg.wyłączanie czynnika przed nawias. Własności potęg powtórzenie sp +gim. Dodawanie potęg o tych samych podstawach ale innych podobne zadania i testy. Internetowy kalkulator potęg, który pomaga obliczyć wartość dowolnej liczby całkowitej o dowolnej potędze, w tym wartości ujemnej, ułamkowej lub dziesiętnej. Mnożenie potęg o tej samej podstawie. Dodawanie i odejmowanie do 10 z owocami.

Proste problemy dotyczące wzorów skróconego mnożenia, ułamków, proporcji oraz innych przekształceń.

Dodawanie oznaczane jest zwyczajowo znakiem plus. Dodawanie potęg (podobnie jak odejmowanie) przysparza bardzo wielu problemów, więc spróbujmy wyjaśnić sobie wszelkie wątpliwości jakie mogą się nam przytrafić przy wykonywaniu tych działań. Matfiz24.pl dodawanie potęg dla ósmoklasisty. Dodawanie potęg o tych samych podstawach | matfiz24.pl. Dodawanie oznaczane jest zwyczajowo znakiem plus: Marek duda 66.200 views3 year ago. 8 miesięcy temu humor #heheszki #liczby #dodawanie #potęga #mnożenie. Obiekty dodawane to składniki, wynik dodawania nazywa się sumą. Matfiz24.pl dodawanie i mnożenie potęg zadanie 6. Matfiz24.pl zobacz w zadaniach jak dodać potęgi, czyli jak wykonać sumę potęg. Dodawanie potęg.wyłączanie czynnika przed nawias. Mnożenie potęg o tym samym wykładniku. Przy dodawaniu i odejmowaniu potęg o podstawie dziesięć nie można stosować pokazanych wyżej praw potęgowania.

Dodawanie oznaczane jest zwyczajowo znakiem plus: Objętość i pole całkowite ostrosłupa prawidłowego. Jak przedstawić iloczyn potęg o tych samych podstawach w postaci potęgi jednej. W niektórych przypadkach dodawanie w pamięci jest trudne. Działania na liczbach dodawanie odejmowanie, mnożenie, dzielenie.

Mnożenie i dzielenie potęg o tych samych podstawach ...
Mnożenie i dzielenie potęg o tych samych podstawach ... from i.ytimg.com
Marek duda 66.200 views3 year ago. Dodawanie potęg o tych samych podstawach ale innych podobne zadania i testy. Konkurs kuratoryjny z matematyki, etap szkolny 2011/2012 Matfiz24.pl dodawanie potęg dla ósmoklasisty. Matfiz24.pl dodawanie potęg i dowód, że dana liczba jest podzielna przez 17. Działania na liczbach dodawanie odejmowanie, mnożenie, dzielenie. Zazwyczaj takie działania na potęgach rozwiązuje się, jak w zwykłym dodawaniu typu Dodawanie potęg o tych samych podstawach | matfiz24.pl.

Matfiz24.pl dodawanie potęg dla ósmoklasisty.

Internetowy kalkulator potęg, który pomaga obliczyć wartość dowolnej liczby całkowitej o dowolnej potędze, w tym wartości ujemnej, ułamkowej lub dziesiętnej. Konkurs kuratoryjny z matematyki, etap szkolny 2011/2012 Dodawanie potęg.wyłączanie czynnika przed nawias. Dodawanie potęg (podobnie jak odejmowanie) przysparza bardzo wielu problemów, więc spróbujmy wyjaśnić sobie wszelkie wątpliwości jakie mogą się nam przytrafić przy wykonywaniu tych działań. Dodawanie jest jednym z czterech podstawowych działań arytmetycznych. Jak przedstawić iloczyn potęg o tych samych podstawach w postaci potęgi jednej. Dodawanie oznaczane jest zwyczajowo znakiem plus. Matfiz24.pl dodawanie potęg o tych samych podstawach. 121 portali do których dodajemy wasze ogłoszenia, to ilość, która pozwala na. Obiekty dodawane to składniki, wynik dodawania nazywa się sumą. Działania na liczbach dodawanie odejmowanie, mnożenie, dzielenie. Matfiz24.pl dodawanie potęg dla ósmoklasisty. 8 miesięcy temu humor #heheszki #liczby #dodawanie #potęga #mnożenie.

Własności potęg powtórzenie sp +gim doda. Matfiz24.pl dodawanie i mnożenie potęg zadanie 6.
Post a Comment (0)
Previous Post Next Post